Planning Tools for Events (Unit 4 P6)
Event planners can use a range of tools to create and follow a detailed event plan. These include;
Gantt charts.
Critical path analysis.
Online planning tools.
Gantt Charts
A gannt chart is a visual representation of the breakdown of tasks in a project and when they are to be completed.
This can be used to communicate with a team to help schedule and to anticipate issues with the planned schedule so it can be adapted.
| Weeks | |||||||||||
|---|---|---|---|---|---|---|---|---|---|---|---|
| Task | 1 | 2 | 3 | 4 | 5 | 6 | 7 | 8 | 9 | 10 | 11 |
| A | |||||||||||
| B | |||||||||||
| C | |||||||||||
| D | |||||||||||
| E | |||||||||||
| F | |||||||||||
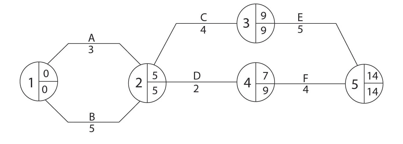
Critical Path Analysis
This is a tool used in project management which established the most efficient way of organising tasks and resources to complete the overall project in the fastest time. The model shows the order, the earliest start time and the latest finish time of each task.